
设备级加速应力测试侧重于阳极催化剂层的降解和未来预期的操作条件,包括间歇负载和铂族金属含量的降低。负载上限为2.5Acm-2的方波周期被用于筛选商业铱(Ir)材料。性能损失主要是由于动力学降低,并伴随着催化剂迁移到膜中,催化剂/离聚体整合恶化,催化剂/膜界面减弱。对于含钌催化剂,原位性能更高,但耐久性低于Ir基线,并且在测试中失去任何性能优势。增加的损失可能是由于更高的溶解速率;显微镜检查证实有较大程度的钌迁移。对于金属Ir或混合氧化物,非原位活性的改善通常不会转化为原位性能。但耐久性明显降低,损耗率从3μV(氧化物)增加到9μV(金属)。这些结果与文献中的历史发现一致,合理地继续使用氧化铱作为基准催化剂,并表明传统的催化剂开发方法在专注于低成本应用时可能无法提高设备级耐用性。因此,转移焦点可能更有效地提高催化剂利用率和减少负载要求。

(a)N117的MEA阳极和阴极极化曲线。(b)N117(红色)、N115(蓝色)和N212(绿色)在80℃下的MEA初始极化曲线。(c)使用N117(红色)、N115(蓝色)和N212(绿色)的MEA耐久性测试中过电位的变化。损失包括总过电位(实线,填充的圆圈)、动力学(长虚线,开放的菱形)、欧姆(短虚线,开放的正方形)和传输(虚线,开放的三角形)。(d)N117,(e)N115,(f)N212对MEAs进行耐久性测试时极化曲线的变化。耐久性测试通过方波电流密度循环完成,在2.5Acm-2下30s,在80°C下0Acm-2下30s。

在电流密度上限为(a)2、(b)2.5和(c)3Acm-2的MEA中,极化曲线随耐久性测试的变化。(d)电流密度上限为2(红色)、2.5(蓝色)和3Acm-2(绿色)的MEA耐久性测试中过电位的变化。损失包括总过电位(实线,填充的圆圈)、动力学(长虚线,开放的菱形)、欧姆(短虚线,开放的正方形)和传输(虚线,开放的三角形)。耐久性测试通过方波电流密度循环完成,在2.5Acm-2下30s,在80°C下0Acm-2下30s。
使用不同阳极催化剂的MEA耐久性测试中1Acm-2过电位的变化。将材料分为(a)纯Ir和(b)含Ru或载体的材料。损失包括总过电位(实线,填充的圆圈)、动力学(长虚线,开放的菱形)、欧姆(短虚线,开放的正方形)和传输(虚线,开放的三角形)。耐久性测试通过方波电流密度循环完成,在2.5Acm-2下30s,在80°C下0Acm-2下30s。
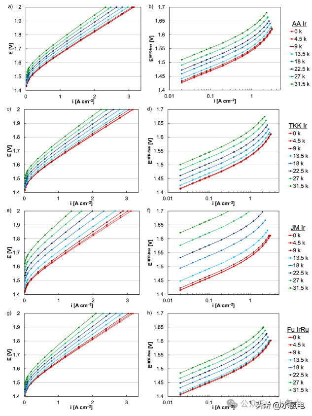
(a)-(b)AlfaAesarIr,(c)-(d)TKKIr,(e)-(f)JohnsonMattheyIr,(g)-(h)FuruyaIrRu作为阳极催化剂的MEAs,其极化曲线和Tafel图随耐久性测试的变化。耐久性测试通过方波电流密度循环完成,在2.5Acm-2下30s,在80°C下0Acm-2下30s。
加速应力测试后,MEAs阳极催化剂层的HAADF-STEM和EDS谱图(Ir,F)分别为(a)AlfaAesarIr,(b)TKKIr,(c)JohnsonMattheyIr和(d)FuruyaIrRu阳极催化剂层。耐久性测试通过方波电流密度循环完成,在2.5Acm-2下30s,在80°C下0Acm-2下30s。
(a)AlfaAesarIr,(b)TKKIr,(c)JohnsonMattheyIr,(d)FuruyaIrRu阳极催化剂层加速应力测试后的MEAs阳极催化剂层截面的SEM图像。耐久性测试通过方波电流密度循环完成,在2.5Acm-2下30s,在80°C下0Acm-2下30s。
由循环MEAs小角x射线散射(SAXS)数据导出的阳极催化剂颗粒体积分布函数。耐久性测试通过方波电流密度循环完成,在2.5Acm-2下30s,在80°C下0Acm-2下30s。
IrL2XANES(左)和IrL2扩展x射线吸收精细结构的傅里叶变换(右)的催化剂粉末和循环MEAs阳极。耐久性测试通过方波电流密度循环完成,在2.5Acm-2下30s,在80°C下0Acm-2下30s。
在MEA循环后的四个选择阳极的IrL2XANES。耐久性测试通过方波电流密度循环完成,在2.5Acm-2下30s,在80°C下0Acm-2下30s。
(a)经过筛选的催化剂在旋转圆盘电极半电池中的质量活性(红色)和位点特异性活性(蓝色),在(阴影)和(固体)耐久性测试(13.5h恒定2V)之前和之后。用汞欠电位沉积测定的ECAs计算位点特异性活性。(b)在(虚线)和(实线)耐久性测试(13.5h恒定2V)之前,筛选过的催化剂在旋转圆盘电极半电池中氢欠电位沉积的ECAs(红色),电容(蓝色)和汞欠电位沉积(绿色)。(c)纯Ir和(d)负载型和含Ru催化剂的XRD谱图。
旋转圆盘电极测试(a)纯Ir催化剂和(b)含Ru或载体催化剂在不同电位(1.4-2V)下的溶解速率。实验中,分别在0.5、1、4和13.5h取等量的ICP-MS。
80°C时含Ru(红色实心圈)和纯Ir(蓝色实心圈)催化剂的MEA交换电流密度,以及室温下含Ru(红色开圈)和纯Ir(蓝色开圈)催化剂的旋转盘电极活性与(a)ECA测量中的金属含量、(b)汞欠电位沉积的ECA、(C)Ru含量和(d)晶体尺寸的函数关系。在1.55VvsRHE下测定了旋转盘电极的活度,并用汞欠电位沉积法测定的ECAs计算了位点特异性活度。虚线表示文中讨论的相关性。
含Ru(红色实心圈)和纯Ir(蓝色实心圈)催化剂的MEA损失率,以及含Ru(红色开圈)和纯Ir(蓝色开圈)催化剂在室温下的旋转盘电极溶解率与(a)ECA测量中的金属含量(b)汞欠电位沉积的ECA(c)Ru含量和(d)晶体尺寸的函数关系。在室温下保持13.5h,通过ICP-MS分析的等分来测定旋转圆盘电极在2V下的溶解率。在耐久性测试期间,通过方波电流密度循环,在2.5Acm-2下30s,80°C下0Acm-2下30s,从过电位变化计算MEA损失率。
含Ru改善了初始MEA性能,然而,这些性能优势随着频繁的负载循环而丧失,并且过电位高于Ir氧化物基线,对于未完全氧化的Ir催化剂,较高的非原位活性并不能转化为较高的原位性能。
Catalyst-SpecificAcceleratedStressTestsinProtonExchangeMembraneLow-TemperatureElectrolysisforIntermittentOperation-IOPscience
/1945-7111/ad2735